- Längeres Überleben dank Mammographiescreening
Der Kanton St. Gallen führte 2010 ein bevölkerungsbasiertes qualitätskontrolliertes Mammographiescreening-Programm unter dem Namen «donna» ein. Dieses Programm wurde später auf die Kantone Graubünden, Bern, Solothurn, Appenzell Innerrhoden, Appenzell Ausserrhoden und ab 2025 auf den Kanton Schaffhausen ausgeweitet. Die Daten zur Evaluation des Programms belegen, dass im Screening entdeckte Mammakarzinome ein früheres Tumorstadium aufwiesen, weniger aggressiv behandelt werden mussten und dass diese Frauen nach ihrer Brustkrebsdiagnose deutlich länger lebten (1).
In 2010, the canton of St. Gallen introduced a population-based, quality-controlled mammography screening program under the name “donna”. This program was later extended to the cantons of Graubünden, Bern, Solothurn, Appenzell Innerrhoden, Appenzell Ausserrhoden and, from 2025, to the canton of Schaffhausen. Data from the evaluation of the program show that breast cancers detected during screening had an earlier tumor stage, required less aggressive treatment and that these women lived significantly longer after their breast cancer diagnosis (1).
Key words: mammography screening, “donna”, breast cancer
Einleitung
Die Brustkrebsfrüherkennung mit bevölkerungsbasierten organisierten Mammographiescreening-Programmen (MSP) entspricht europäischen und nationalen Empfehlungen, so auch der Schweizerischen Krebsliga. Nachdem randomisiert kontrollierte Studien in den 1970er und 1980er Jahren gezeigt hatten, dass MSP die Brustkrebs-Sterblichkeit um 15 bis 20 % verringern (2), wurden seit den 1980er Jahren in vielen europäischen Ländern MSP eingeführt – in der Schweiz bereits 1999 (3) in einigen französischsprachigen Kantonen und im Jahre 2010 auch in der Deutschschweiz, zuerst im Kanton St. Gallen. Aktuell gibt es in der Schweiz in 15 Kantonen MSP, und in drei weiteren wird die Einführung vorbereitet.
Einen Rückschlag erlitt die Einführung weiterer Programme in der Schweiz durch den 2013 erschienenen Bericht des «Swiss Medical Boards» (4), der von der Einführung neuer Programme abriet und empfahl, existierende Programme auslaufen zu lassen. Die sinkende Mortalität an Brustkrebs sei nur bedingt eine Folge des Screenings und das Kosten-/Nutzenverhältnis sei ungünstig, vor allem wegen falsch positiver und falsch negativer Befunde. Wissenschaftlich waren diese Aussagen von Anfang an umstritten (5) und gelten heute als überholt.
Das Mammographiescreening-Programm «donna»
Im Brustkrebsfrüherkennungsprogramm «donna», das von der Krebsliga Ostschweiz im Auftrag von sieben Kantonen durchgeführt wird, erhalten Frauen im Alter von 50 bis 69 bzw. in einigen Kantonen bis 74 in zweijährlichen Abständen einen Einladungsbrief für eine Screeningmammographie.
Die Teilnahmerate der eingeladenen Frauen bewegt sich um die 50 %. In der Schweiz ist es möglich, Vorsorgeuntersuchungen auch ausserhalb der kantonal organisierten Screeningprogramme vorzunehmen. Dieses opportunistische Screening wird je nach Jahr von 13 % bis 21 % der Frauen wahrgenommen. Der Anteil der Frauen, welche insgesamt Vorsorgeuntersuchungen in Bezug auf Brustkrebs durchführen, ist deswegen deutlich höher und mit europäischen MSP vergleichbar, wo Vorsorgeuntersuchungen nur im Rahmen eines MSP möglich sind oder vergütet werden.
In den letzten 40 Jahren konnten in der Diagnose und Behandlung von Brustkrebs bedeutende Fortschritte erzielt werden, sodass trotz steigender Inzidenz deutlich weniger Frauen an Brustkrebs sterben. Die Einführung von zertifizierten Brustzentren hat zusätzlich zu diesem Befund beigetragen.
Ausländische europäische Studien belegen die Wirksamkeit aktueller Screeningprogramme (6, 7) in Bezug auf Überleben und sogar Kosteneffektivität (8). Aus ethischen Gründen kann heutzutage die Effektivität eines MSP nicht mehr in einer randomisierten Studie geprüft werden. Um einen Überblick im aktuellen schweizerischen Kontext zu gewinnen, haben wir deshalb Daten unseres MSP «donna» in Kooperation mit der School of Medicine der Universität St. Gallen ausgewertet.
Analyse der eigenen Daten
Wir haben alle Brustkrebsfälle seit dem Start des MSP, d.h. von 2010 bis 2019 in den Kantonen St. Gallen und Graubünden ausgewertet. Hierzu haben wir Karzinome von Frauen, die am MSP teilgenommen haben, mit Karzinomen von Frauen verglichen, welche nicht am MSP teilgenommen haben. Durch Abgleich der Daten von «donna» mit registrierten Brustkrebsfällen bis 2021 im Krebsregister Ostschweiz und Graubünden-Glarus konnten Informationen über die Tumorstadien, Histologie, Behandlung und das Überleben der Frauen ermittelt werden. Dies ermöglichte es uns auch, Intervallkarzinome zu identifizieren. Die Screening-Mammographien wurden von zwei Radiologen unabhängig voneinander beurteilt. Falls einer oder beide eine abklärungswürdige Auffälligkeit feststellten, wurde die Mammographie in einer Konsensuskonferenz unter Leitung eines dritten Radiologen besprochen. Dies geschah in ca. 10 % der Fälle. Eine Empfehlung für weitere Abklärungen erfolgte bei weniger als 3 % aller Mammographien. Nur in etwa 20 % dieser weiteren Abklärungen war das Ergebnis eine Karzinomdiagnose, was etwa 6 von 1000 Mammographien im MSP entspricht.
Insgesamt wurde in diesem Zeitraum bei 2558 Frauen zwischen 50 und 69 Jahren in den Kantonen St. Gallen und Graubünden Brustkrebs diagnostiziert, bei 1057 davon innerhalb und bei 1501 ausserhalb des MSP. Das mittlere Alter dieser Brustkrebspatientinnen war innerhalb des MSPs um 1.4 Jahre niedriger (59.3 vs. 60.7).
Entdeckte Karzinome von Frauen im MSP waren kleiner (19.3 mm vs. 23.3 mm), wiesen seltener einen Lymphknotenbefall auf (26.1 % vs. 42.4 %, d.h. fast 40 % weniger), und es gab bedeutend weniger prognostisch ungünstigere fortgeschrittene Stadien III und IV mit 8.6 % vs. 22.9 %. Es fanden sich innerhalb des MSP doppelt so häufig in situ Karzinome (17.5 % vs. 8.7 %; siehe Abb. 1 Stadienverteilung).
10 Jahre nach Einführung des Screenings zeigte sich insgesamt eine prognostisch deutlich bessere Stadienverteilung bei allen Frauen zwischen dem 50. und 70. Altersjahr (Abb. 2) unabhängig von der Teilnahme am MSP. Fortgeschrittene Stadien III und IV nahmen zusammen von 22 % um fast ein Drittel auf 15 % ab.
Das Tumorstadium bei Brustkrebs ist ein wesentlicher Prognosefaktor und wirkt sich auch auf die Behandlungsmöglichkeiten aus. Bei Karzinomen von Frauen innerhalb des MSP wurden nur etwa halb so viele Mastektomien durchgeführt als in der nicht durch «donna» gescreenten Gruppe (8.8 % vs. 18.6 %). Des Weiteren wurden fast ein Viertel weniger adjuvante Chemotherapien durchgeführt (33.7 % vs. 44.1 %).
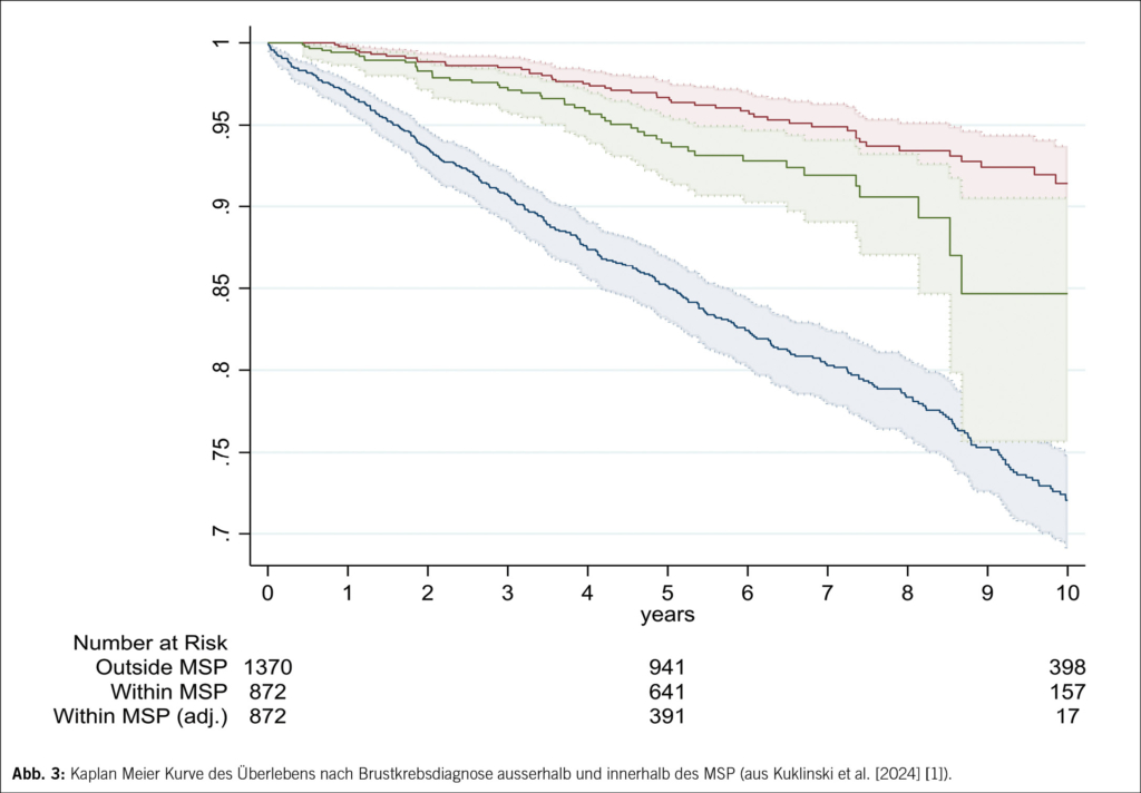
Ob solche bereits schnell nach Einführung eines Screeningprogramms feststellbare Stadienverbesserungen zu einem längeren Überleben führen, kann erst nach einer längeren Beobachtungszeit festgestellt werden. Die Kaplan-Meier-Kurve über 10 Jahre zeigt deutlich günstigere Überlebenskurven von Brustkrebspatientinnen mit Teilnahmen am MSP (Abb. 3).
Die Überlebensrate nach 10 Jahren von Frauen, welche am MSP teilnahmen, und eine Brustkrebsdiagnose erhielten, war 91.4 % im Vergleich zu 72.1 % von Frauen, die nicht am MSP teilnahmen (hazard ratio (HR): 0.271).
Der Vergleich einer gescreenten Population mit der nicht gescreenten kann zu Verzerrungen führen, konkret zu den sogenannten «Lead-time und Length Biases». Da Karzinome in einem Früherkennungsprogramm zu einem früheren Zeitpunkt entdeckt werden, führt dies zu einem längeren Überleben, selbst wenn die frühere Erkennung und die anschliessende Therapie keinen Einfluss haben. Zudem werden typischerweise in der Früherkennung Karzinome entdeckt, vor allem die «in situ Karzinome» mit einem deutlich besseren Verlauf.
Diese Verzerrungen können mathematisch korrigiert werden (1, 9). Auch nach dieser rechnerischen Korrektur von «Lead-time» und «Length» fanden wir einen signifikanten 10-Jahres-Überlebensunterschied (84.7 % vs. 72.1 %). Eine Teilnahme am Screeningprogramm brachte somit eine Reduktion der Sterblichkeit um ca. 45 % (HR: 0.550).
Hiermit konnte erstmalig auch für ein Schweizer Programm ein längeres Überleben von Frauen mit Brustkrebs in der Screeninggruppe dokumentiert werden. Diese Resultate werden unterstützt durch neuere ausländische Studienresultate, welche auch bedeutende Risikoreduktionen in der gescreenten Population zeigten mit einer korrigierten HR um 0.4 (10, 9).
Das verbesserte Überleben in der gescreenten Gruppe ist grösstenteils durch die bessere Stadienverteilung zu erklären. Überraschenderweise sehen wir in unseren Daten auch bei einem Stadien-adjustierten Vergleich noch Unterschiede zwischen den zwei Gruppen. Über deren Ursache kann nur spekuliert werden. Ein möglicher Erklärungsansatz ist, dass dieser Unterschied durch die signifikant häufiger in zertifizierten Brustzentren durchgeführte Behandlung erklärt werden kann. Positiv gesehen, werden nun fast alle Brustkrebspatientinnen in zertifizierten Brustzentren behandelt.
Eine weitere Erklärung unserer Ergebnisse könnte sein, dass sich die gescreenten von den nicht gescreenten Frauen soziokulturell unterscheiden können. Das schlechtere Überleben in letzterer Gruppe könnte somit durch eine höhere Sterblichkeit an anderen Todesursachen, wie zum Beispiel kardiovaskulären Gründen, verursacht sein. Wenn jedoch die Brustkrebs-bezogene Sterblichkeit untersucht wird, bleiben die Unterschiede zwischen den Gruppen ganz ähnlich wie bei der Sterblichkeit durch alle Todesursachen.
In unserem Kollektiv fanden sich 265 Intervallkarzinome, dies entspricht 21 % der in der gescreenten Gruppe aufgetretenen Karzinome. Die Mehrzahl wurde im zweiten Jahr nach der Screeningmammographie entdeckt. Diese Karzinome waren grösser und aggressiver (z. B. wiesen sie einen höheren Ki-67 Proliferationsindex auf), und zeigten somit einen etwas schlechteren Verlauf als Karzinome, welche zum Zeitpunkt der Screeningmammographie entdeckt wurden. Als Risikofaktoren für Intervallkarzinome fanden wir eine erhöhte Brustdichte und eine positive Familienanamnese. Mit zunehmendem Alter der Frauen wurde dieses Risiko geringer, was mit der altersabhängig abnehmenden Brustdichte und somit leichteren Diagnosemöglichkeit durch Mammographien zusammenhängen kann.
Schlussfolgerung und Ausblick
Die Auswertung des MSP «donna» belegt mit neuen Daten für die Schweiz, dass durch die Teilnahme am Programm Brustkrebs in einem früheren Stadium diagnostiziert werden kann, was eine weniger belastende Therapie mit besseren Heilungschancen und somit deutlich verbessertem Überleben ermöglicht.
Diese Studienresultate unterstreichen die Relevanz von Screeningprogrammen und zeigen Verbesserungsmöglichkeiten auf. Zum Beispiel könnten alternative oder zusätzliche Untersuchungen bei dichter Bruststruktur die Krebsentdeckungsraten erhöhen. Darüber hinaus könnte auch eine diagnostische Software basierend auf künstlicher Intelligenz die Sensitivität des Programms erhöhen, aber auch durch Analyse der Bruststruktur das Risiko für die Entstehung von Brustkrebs im Zeitraum bis zur nächsten Mammographie berechnen. Der Einsatz künstlicher Intelligenz als Unterstützung in Screeningprogrammen (11) wird daher aktuell in retrospektiven und prospektiven Studien untersucht.
Dr. med. Rudolf Morant 1
Jonas Subelack 2
Marcel Blum 1,2
Prof. Dr. Alexander Geissler 2
Dr. David Kuklinski 2
1 Krebsliga Ostschweiz, Flurhofstrasse 7, 9000 St. Gallen
2 School of Medicine (MED-HSG), St. Jakob-Strasse 21, 9000 St. Gallen
Krebsliga Ostschweiz
Flurhofstrasse 7
9000 St. Gallen
R. Morant, und M. Blum arbeiten für die Krebsliga Ostschweiz, welche das Mammographiescreening-Programm «donna» wie auch das Krebsregister Ostschweiz betreibt.
Auch in der Schweiz zeigen sich bei einem bevölkerungsbasierten Mammographiescreening mit aktuellen Daten klare Vorteile:
- Deutlich besseres 10-Jahres-Überleben (HR 0.55) von Frauen mit Brustkrebsdiagnose.
- Brustkrebs wird in früheren Stadien entdeckt.
- Weniger aggressive Therapien: 50 % weniger Mastektomien,
fast 25 % weniger Chemotherapien.
1. Kuklinski D, Blum M, Subelack J, Geissler A, Eichenberger A, Morant R. Breast cancer patients enrolled in the Swiss mammography screening program “donna” demonstrate prolonged survival. Breast Cancer Res. 2024;26(1):84. doi:10.1186/s13058-024-01841-6
2. Myers ER, Moorman P. Benefits and Harms of Breast Cancer Screening: A Systematic Review. JAMA Internal Medicine. 2015;314:1615-1634.
3. Müller G, Leo C. Mammografiescreening in der Schweiz. Gynäkologie. (4/2023):6-10.
4. Swiss Medical Board. Systematisches Mammographie-Screening.; 2013. Accessed September 1, 2023. https://www.swissmedicalboard.ch/fileadmin/public/news/2013/bericht_smb_mammographie_screening_lang_2013.pdf
5. Vassilakos P, Catarino R, Boulvain M, Petignat P. Controversies in the mammography screening programme in Switzerland. Swiss Medical Weekly. 2014;144(1718):w13969-w13969. doi:10.4414/smw.2014.13969
6. Njor S, Nyström L, Moss S, et al. Breast Cancer Mortality in Mammographic Screening in Europe: A Review of Incidence-Based Mortality Studies. J Med Screen. 2012;19(1_suppl):33-41. doi:10.1258/jms.2012.012080
7. Katalinic A, Eisemann N, Kraywinkel K, Noftz MR, Hübner J. Breast cancer incidence and mortality before and after implementation of the German mammography screening program. Intl Journal of Cancer. 2020;147(3):709-718. doi:10.1002/ijc.32767
8. Mühlberger N, Sroczynski G, Gogollari A, Jahn B, Pashayan N, Steyerberg E, Widschwendter M, Siebert U. Cost effectiveness of breast cancer screening and prevention: a systematic review with a focus on risk-adapted strategies. Eur J Health Econ. 22(8)(2021):1311-1344.
9. Duffy SW, Nagtegaal ID, Wallis M, et al. Correcting for Lead Time and Length Bias in Estimating the Effect of Screen Detection on Cancer Survival. American Journal of Epidemiology. 2008;168(1):98-104. doi:10.1093/aje/kwn120
10. Schumann L, Hadwiger M, Eisemann N, Katalinic A. Lead-Time Corrected Effect on Breast Cancer Survival in Germany by Mode of Detection. Cancers. 2024;16(7):1326. doi:10.3390/cancers16071326
11. Morant R, Gräwingholt A, Subelack J,Blum M, Geissler A, Kuklinski D. Der mögliche Nutzen künstlicher Intelligenz in einem organisierten bevölkerungsbezogenen Screeningprogramm: Erste Ergebnisse und Ausblick. Radiologie. Published online July 17, 2024. doi:10.1007/s00117-024-01345-6
info@gynäkologie
- Vol. 14
- Ausgabe 5
- Oktober 2024








