- Wie könnte der neue Alltag aussehen?
Was kann dies für den hiesigen onkologischen Alltag bedeuten? Sollen unsere Patienten in Selbst-Quarantäne in bestimmten Situationen und welchen? Wie können und müssen wir sie dabei unterstützen? Sollen sie öffentliche Verkehrsmittel noch benützen? Sollen wir aktuell nicht lebensnotwendige Therapien wie z.B. adjuvante immunsuppressive Therapien verschieben oder unterlassen, ebenso wie nicht dringende Operationen und Radiotherapien? Was hat dies später für Konsequenzen für den Gesamtverlauf?
Müssen wir die Ambulatorien anders organisieren und intensive Corona-Testungen von Patienten und Personal einführen? Wie können wir sicherstellen, dass alle spitalinternen und externen Partner wie Medizinische Onkologie, Radiologie, Nuklearmedizin, Radiotherapie etc. unsere Patienten adäquat schützen?
Sind die nun laufenden klinischen Studien mit antiviralen Substanzen wie z.B. mit Remdesivir eine zukünftige Therapieoption? Wie können wir Patienten unterstützen, welche nebst ihrer Erkrankung noch durch grossen wirtschaftlichen Schaden belastet und bedroht sind?
Die SAKK ist gerade dabei gesamtschweizerisch eine Studie zu etablieren, welche uns in dieser unerwarteten Situation auf solche Fragen Antworten bringen könnte und wir ersuchen alle Kolleginnen und Kollegen sich daran zu beteiligen. Es bietet sich hier ein kurzes Opportunitäts-Fenster in dieser für alle unerwarteten, bedrohlichen Situation rasch zu lernen und die richtigen Schlüsse für unsere jetzigen und zukünftigen Patienten zu ziehen.
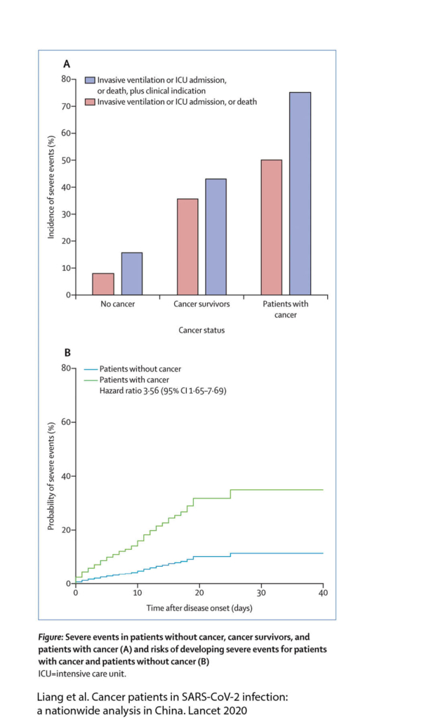
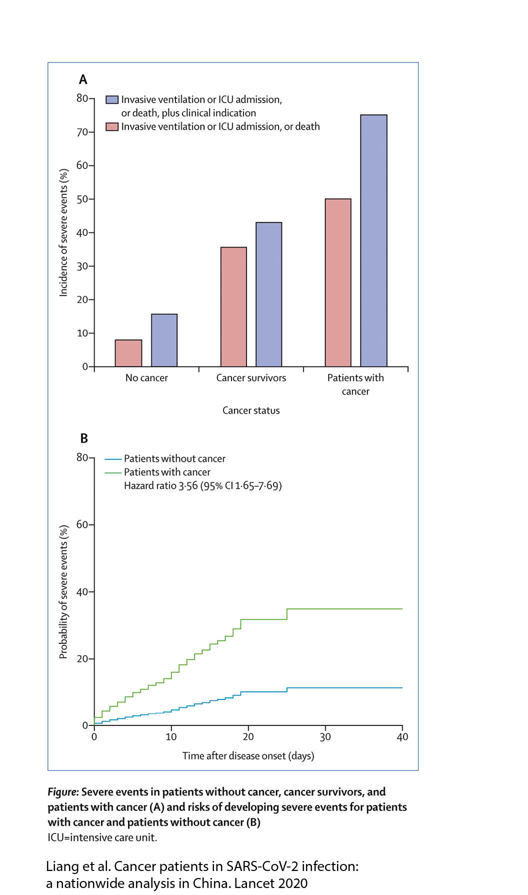
* Stand 14.4.: 25’688 Fälle und 1 142 Tote
Prof. em. Dr. med. Thomas Cerny
Thomas.Cerny@kssg.ch
Prof. Dr. med. Roger von Moos
Roger.vonMoos@ksgr.ch








