- Neumanifestation einer Typ-2-Inflammation im Bereich der oberen Atemwege mit Polyposis nasi unter einem Asthmabiologikum
Einleitung
Asthmapatienten können die eosinophile Typ-2-Inflammation sowohl in den unteren Atemwegen (Asthma) als auch im Bereich der oberen Atemwege mit allergischer Rhinitis (early-onset Asthma) oder aber beim late-onset Asthma mit chronischer Rhinosinusitis mit nasaler Polyposis (CRSwNP) und eventueller Aspirinintoleranz (M. Widal = AERD) manifestieren. Das Ziel einer modernen Asthmabehandlung geht über eine schlichte Symptomkontrolle hinaus und strebt eine Remission an. Diese enthält gemäss eines Expertenkonsenses nebst dem Fehlen von Symptomen auch eine stabile Lungenfunktion ohne Steroideinsatz über 12 Monate. Dazu haben sich hier moderne Asthmabiologika als wirksam erwiesen (1). Das Ansprechen der Biologika kann aber im Bereich der beiden Etagen der Atemwege differieren, wie der beschriebene Fall zeigt. Unser Patient entwickelte unter der Therapie mit einem Anti-IL-5-Antikörper die Neumanifestation einer Polyposis nasi sowie eine Unverträglichkeitsreaktion auf Metamizol, deren Ätiologie und die mögliche Beeinflussung durch verschiedene Biologika (2) diskutiert wird.
Fallvignette
Im Alter von 29 Jahren manifestierten sich bei dem männlichen Patienten Husten, Auswurf und zunehmende Belastungsdyspnoe. Er war lebenslanger Nieraucher und hatte in der Jugend Leistungssport betrieben. Die gezielte Allergie- und Berufsanamnese war negativ.
Aufgrund der Symptomatik führte die Hausärztin zweimal einen oralen Steroidstoss (OCS) mit guter klinischer Wirkung durch. Da Herr N. nach dem Absetzen trotz hoch dosierter ICS/LABA erneut exazerbierte, wies sie ihn der Pneumologie des Spitals in Davos zu.
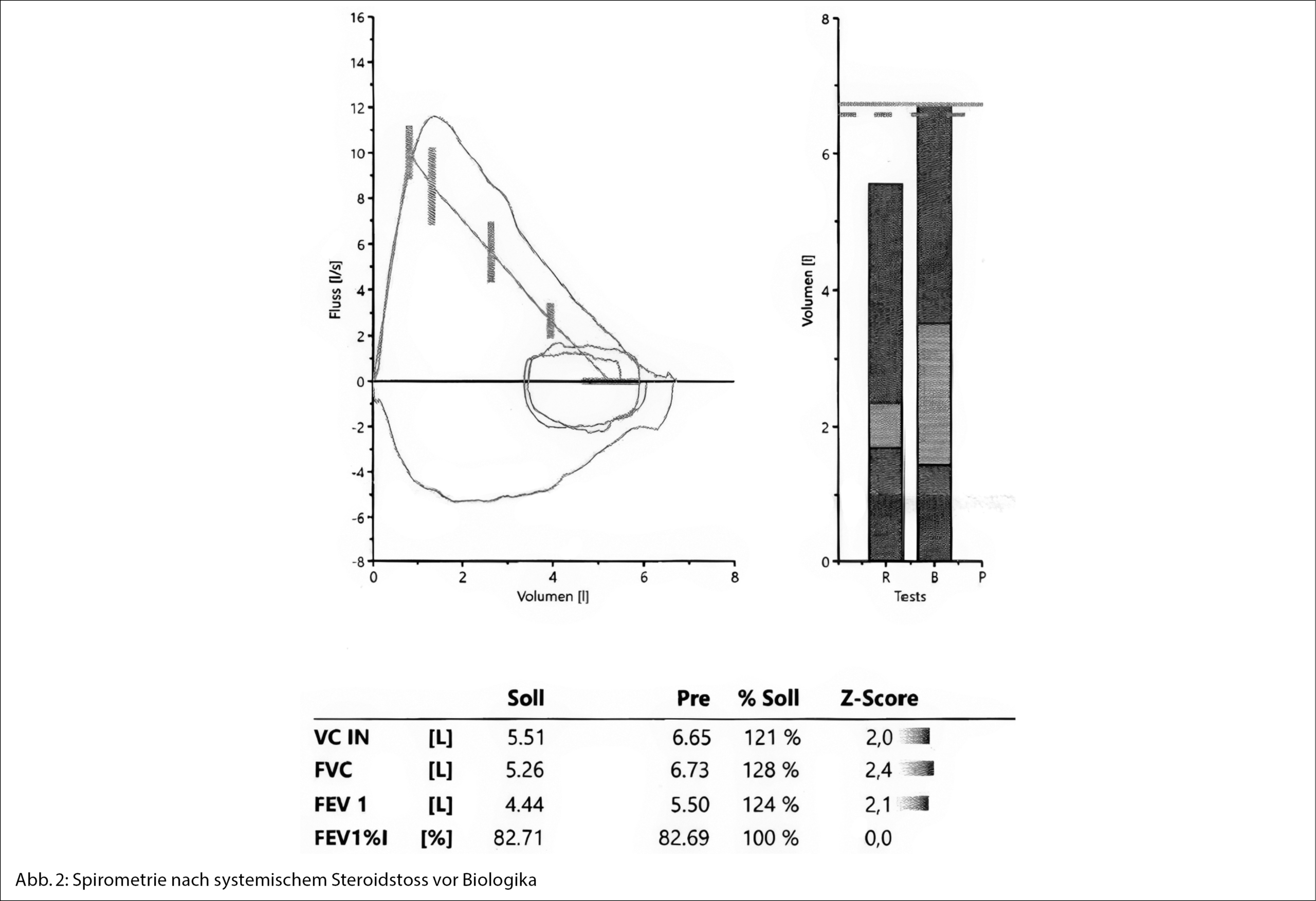
Bei erhöhter Eosinophilenzahl im Differenzialblutbild (2.6 G/l bzw. 24.9 %, Norm < 0.45 G/l bzw. 5 %), erhöhtem FeNO (exhaliertes Stickstoffmonoxid) von 107 ppb (Norm < 25 ppb) als weiterem Marker der Typ-2-Inflammation, negativem Inhalationsscreen (Phadia CAP sx1 0.18 kU/l, Norm < 0.7 kU/l) sowie wiederholt normwertigen ANCA (Anti Neutrophile Cytoplasmatische Antikörper) wurde trotz erhöhtem Gesamt-IgE (582 kU/l, Norm < 100 kU/l) die Diagnose eines nicht allergischen, eosinophilen adult-onset Asthmas gestellt und eine Behandlung gemäss GINA Stufe 4 eingeleitet. Dennoch kam es nach drei Monaten zu einer weiteren spontanen Exazerbation mit mittelschwerer, auf Betastimulatoren nicht reversibler Obstruktion. Unter OCS erfolgte erneut eine Normalisierung der Lungenfunktion mit absolutem FEV1-Anstieg (Erstsekundenkapazität) um 2.5 Liter (vgl. Abb. 1 und 2). (Man beachte Hustenartefakte als weiteres Zeichen der bronchialen Hyperreaktivität beim schlecht kontrollierten Asthma.)
Damit war die Limitatio zur Verordnung von Asthmabiologika erfüllt. Nach Kostengutsprache erhielt der Patient Benralizumab s.c., zuerst vierwöchentlich über drei Monate, dann alle acht Wochen. Aufgrund einer Nadelphobie erfolgte die Injektion immer überwacht im Spital durch qualifiziertes Personal. Darunter zeigte sich ein sehr gutes Ansprechen hinsichtlich des Asthmas. Bereits bei der dritten Gabe erreichte Herr N. seine individuell beste FEV1 von 5.8 l (128 % Soll). Im weiteren Verlauf blieb das Asthma stabil und gut kontrolliert.
Unter fortgeführter Behandlung mit Benralizumab manifestierte sich jedoch innerhalb von neun Monaten erstmals eine symptomatische chronische Rhinosinusitis mit Polyposis nasi (CRSwNP) mit Behinderung der Nasenatmung und Hyposmie mit fehlendem Ansprechen auf nasales Mometason. Trotz weiter guter Asthmakontrolle stieg das FeNO von zuletzt 21 ppb auf 50 ppb an. Ein erneutes Screening auf ANA und ANCA im Hinblick auf eine mögliche EGPA blieb negativ. Der Wechsel von Benralizumab auf Dupilumab wurde erwogen, aufgrund der hohen initialen Bluteosinophilenzahl jedoch nicht gewählt.
Nach Rücksprache trafen die Kollegen der ORL des Kantonsspitals Graubünden (KSGR) den Entscheid zur chirurgischen Intervention.
Der Eintritt des Patienten zur Operation erfolgte in respiratorisch stabiler Situation. Präoperativ Verabreichung von Dexamethason i.v. Zudem erhielt die Anästhesie von der ORL die Weisung, auf die Verabreichung von NSAR zu verzichten. Allergien oder Unverträglichkeiten waren zu diesem Zeitpunkt nicht bekannt. Nach Verabreichung von Ketamin, Clonidin und kurz darauf Metamizol intraoperativ kam es zu einem akuten Blutdruckabfall, Abnahme des Atemminutenvolumens und der Sauerstoffsättigung und danach zu einem Erythem an Stamm und Extremitäten ohne urtikarielle Reaktion. Klinisch entsprach dies dem Anaphylaxie-Grad 3 und wurde mit Adrenalin, Clemastin (Tavegyl®) und Methylprednisolon erfolgreich behandelt.
Diskussion
Aufgrund von Manifestationsalter, Symptomatik inkl. Ansprechen auf OCS, hoher Eosinophilenzahl mit wiederholt auch hohen FeNO-Werten bei normwertigem Allergiescreen und negativer Allergieanamnese handelt es sich um eine Typ-2-Inflammation mit Beteiligung der unteren Atemwege im Sinne eines nicht allergischen adult-onset Asthma bronchiale und der oberen Atemwege mit chronischer Rhinosinusitis und Polyposis nasi. Das erhöhte Gesamt-IgE erreichte in einer prospektiven Populationsuntersuchung keine Signifikanz bzgl. Asthmaphänotypisierung (3). Zusammen mit der anaphylaktoiden Reaktion auf Metamizol besteht unseres Erachtens mit grosser Wahrscheinlichkeit die klassische Trias eines M. Widal.
Die Differenzialdiagnose einer eosinophilen Granulomatose mit Polyangiitis (ehemals Churg Strauss) konnte bei fehlenden ANCA und fehlenden Hinweisen für eine Vaskulitis nicht bestätigt werden. Histologisch bestand im nasalen Polypektomiepräparat eine chronisch polypoid-hyperplastische Sinusitis mit reichlich Plasmazellen, jedoch ohne Eosinophilie. Granulome wurden darin nicht beschrieben.
Obwohl sowohl Clonidin wie auch Metamizol im Rahmen ihrer Wirkung für einen Blutdruckabfall verantwortlich sein können, weisen bronchiale Obstruktion und Erythem auf eine allergische bzw. pseudoallergische (anaphylaktoide) Akutreaktion hin. Diesbezüglich kommen zwei pathophysiologische Mechanismen infrage: Nebst der klassischen IgE-vermittelten Allergie auf Metamizol kann auch die mit Asthma und Polyposis nasi assoziierte Reaktion auf NSAR/COX1-Hemmer im Sinne eines M. Widal (AERD) Ursache der beobachteten Reaktion sein, da auch Metamizol über die Hemmung der Cyclooxygenase-1 wirkt und damit zur anaphylaktoiden Reaktion führen kann (4).
Für den Patienten hat es eine klinische Konsequenz, ob er in Zukunft nur Metamizol oder das gesamte Spektrum der Prostaglandinsynthesehemmer meiden muss. Leider ist die Differenzierung schwierig. Ein Basophilenaktivierungstest für Metamizol ist in der Schweiz gemäss unseren Nachforschungen nicht verfügbar, und die Sensitivität liegt bei nur 15 % (5). Eine Reexposition erachten wir aufgrund der Schwere der Reaktion als kontraindiziert. Einen praxistauglichen Approach bietet A. Trautmann in seinem Research Letter im Clinical & Experimental Allergy 2020 (4). Dort wird eine Hauttestung mit Applikation der verdünnten I.V.-Lösung von Metamizol vorgeschlagen. Kommt es dabei zu einer lokalen Reaktion, besteht eine hohe Wahrscheinlichkeit für eine IgE-vermittelte Allergie. Bei unserem Patienten blieb der Pricktest negativ für Metamizol und alle weiteren getesteten NSAR bei positiver Kontrolle, was das Vorliegen einer pseudoallergischen Reaktion im Sinne einer NSAID-Intoleranz sehr wahrscheinlich macht.
Interessant an diesem Fall sind unseres Erachtens folgende Punkte:
Beim Patienten hat sich bei vollständigem Fehlen von Eosinophilen im Blut unter Benralizumab eine CRSwNP neu entwickelt. Dies bedeutet, dass an der Ausbildung einer chronischen Sinusitis mit Polypen Pathomechanismen beteiligt sind, die über die reine Aktivität von IL-5 hinausgehen, da der Anti-IL-5(R)-Antikörper dies nicht verhindern konnte.
Auch unter Asthmabiologika ist es möglich, IgE-vermittelte und anaphylaktoide Hypersensitivitätsreaktionen auf NSAR zu entwickeln. Die Testung und weitere Abklärungen sind trotz Behandlung mit Antikörpern (ausser allenfalls Omalizumab) möglich.
Metamizol gehört zu den Prostaglandinsynthesehemmern und kann wie Aspirin und NSAR zu einer Intoleranzreaktion führen. Selten sind auch IgE-vermittelte Monosensibilisierungen möglich, womit Metamizol nebst der allseits bekannten Agranulozytose auch zu anaphylaktischen und anaphylaktoiden Reaktionen führen kann, was gern vergessen geht. Bei Vorliegen eines Asthmas und nasaler Polyposis sollte deshalb auf die Verabreichung von Metamizol verzichtet werden.
Der Mechanismus der NSAR-Intoleranz geht über eine Kaskade mit Aktivierung proinflammatorischer Zytokine, wobei auch hier die Rolle der eosinophilen Granulozyten hervorgehoben wird. Jedoch kommt es auch zur Mastzellaktivierung mit IgE-, IL-4- und IL-13-Freisetzung, was erklären kann, dass das am IL-5Rα-angreifende Benralizumab im Bereich der oberen Atemwege nicht wirksam war und die anaphylaktoide Reaktion trotz fehlender Eosinophilen auftreten konnte.
Eine retrospektive Analyse der Desensibilisierung bei bestehendem M. Widal mit täglicher niedrig dosierter Einnahme von Acetylsalicylsäure (ASS) bzw. Gabe von Dupilumab im Falle eines Therapieabbruchs aufgrund Unverträglichkeit oder Unwirksamkeit von ASS konnte bereits ein gutes Ansprechen auf Dupilumab zeigen (6). Und die erste prospektive Open-label-Studie bzgl. verbesserter ASS-Toleranz unter einem Biologikum ergab nach 6 Monaten eine Zunahme der Toleranz von 57 % gegen NSAR unter Dupilumab (7) mit kompletter Toleranz bei 23 % der Patienten sowie zudem Verbesserung der Symptome von Asthma und Polyposis nasi. Die Subgruppe mit verbesserter Aspirintoleranz zeigte eine signifikante Abnahme der Leukotrien-E4-Spiegel.
Ausblick
Aufgrund der diskutierten Studien stellt sich nun erneut die Frage nach der Umstellung von Benralizumab auf Dupilumab zur besseren Kontrolle der Symptomatik im HNO-Bereich ohne Verlust der weiterhin guten Asthmakontrolle. Damit könnte das Risiko für ein Rezidiv der nasalen Polyposis vermutlich massiv reduziert werden. Dagegen spricht die bei Diagnosestellung stark erhöhte Eosinophilenzahl, die unter Dupilumab noch ansteigen kann. Allerdings ist die absolute Eosinophilenzahl unter Dupilumab nicht massgebend, da die Zellen als nicht aktiviert gelten, womit auch weiterhin von einer guten Asthmakontrolle auszugehen wäre. Alternativ kommt der Anti-TSLP- Antikörper Tezepelumab (Tezspire®) infrage, da damit ein breites Spektrum an proinflammatorischen Mechanismen reduziert werden kann (inkl. Mastzellen), was ein gutes Ansprechen auch im Bereich der oberen Atemwege nahelegt. Allerdings ist diese Therapie bisher nur für Asthma untersucht und zugelassen.
Für den Fall, dass sich in der Zukunft bei unserem Patienten doch noch eine eosinophile Granulomatose mit Polyangiitis manifestiert, müsste allerdings der Anti-IL-5-Antikörper Mepolizumab zum Steroidsparen in der höheren Dosierung von 300 mg pro Monat eingesetzt werden, da nur er in dieser Indikation zugelassen ist.
Departement Innere Medizin, Pneumologie/Schlafmedizin
Kantonsspital Graubünden
Loëstrasse 170
7000 Chur
anita.gander@ksgr.ch
Es bestehen keine Interessenkonflikte
- Therapieziel beim Asthma bronchiale: Remission:
>12 Monate: Symptomkontrolle + Stabilisierung Lungenfunktion auf bestmöglichem Niveau + keine systemische pSteroide - Unterschiedliche Wirksamkeit von Asthmabiologika auf untere und obere Atemwege
- Neue chronische Rhinosinusitis mit nasaler Polyposis unter Asthmabiologikum trotz fehlender Eosinophilie
- Metamizol kann wie Aspirin bei Asthmatikern zur Anaphylaxie führen – auch unter einem Biologikum
1. Agache I, Beltran J, Akdis C, Akdis M, Canelo-Aybar C, Canonica GW, et al.
Efficacy and safety of treatment with biologicals (benralizumab, dupilumab,
mepolizumab, omalizumab and reslizumab) for severe eosinophilic asthma.
A systematic review for the EAACI Guidelines − recommendations on the
use of biologicals in severe asthma. Allergy. 2020;75(5):1023-42.
2. Sánchez J, García E, Lopez JF, Calle A, Buendia JA. Nonsteroidal Anti-inflammatory Drug (NSAID) Tolerance After Biological Therapy in Patients
With NSAID-Exacerbated Respiratory Disease: A Randomized Comparative
Trial. J Allergy Clin Immunol Pract. 2023;11(7):2172-9.
3. Heaney LG, Perez de Llano L, Al-Ahmad M, et al. Eosinophilic and
Noneosinophilic Asthma: An Expert Consensus Framework to Characterize Phenotypes in a Global Real-Life Severe Asthma Cohort. Chest.
2021;160(3):814-830.
4. Trautmann A, Brockow K, Stoevesandt J. Metamizole-induced reactions as
a paradigm of drug hypersensitivity: Non-allergic reactions, anaphylaxis,
and delayed-type allergy. Clin Exp Allergy. 2020;50(9):1103-6.
5. Gamboa P, Sanz ML, Caballero MR, Urrutia I, Antépara I, Esparza R, de
Weck AL. The flow-cytometric determination of basophil activation induced
by aspirin and other non-steroidal anti-inflammatory drugs (NSAIDs) is
useful for in vitro diagnosis of the NSAID hypersensitivity syndrome. Clin
Exp Allergy. 2004;34(9):1448-57.
6. Bertlich M, Ihler F, Bertlich I, Weiss BG, Gröger M, Haubner F. Management of chronic rhinosinusitis with nasal polyps in Samter triad
by low-dose ASA desensitization or dupilumab. Medicine (Baltimore).
2021;100(40):e27471.
7. Schneider S, Poglitsch K, Morgenstern C, Quint T, Gangl K, Sinz C, et al.
Dupilumab increases aspirin tolerance in NSAID-exacerbated respiratory
disease. Eur Respir J. 2023;61(3).
PRAXIS
- Vol. 113
- Ausgabe 5
- Mai 2024







